Rộ tin sắp IPO quốc tế, chủ sở hữu MoMo đang nằm trong tay ai?

Theo An Diệp | 19/02/2025 09:30 AM | Kinh doanh  »  Công nghệ

Cập nhật gần nhất cho thấy, M-Service, đơn vị sở hữu MoMo - một "kỳ lân" công nghệ được định giá tỷ USD tại Việt Nam có vốn điều lệ hơn 179,4 tỷ đồng với 71,214 % nằm trong tay các cổ đông ngoại.

Rộ tin sắp IPO quốc tế, chủ sở hữu MoMo đang nằm trong tay ai?- Ảnh 1.

Gần đây, giới đầu tư đang “truyền tai” nhau việc một doanh nghiệp kỳ lân công nghệ tại Việt Nam là Công ty cổ phần Dịch vụ di động trực tuyến (M-Service), đơn vị chủ quản ví điện tử MoMo - đang đàm phán với các đối tác về việc sẽ IPO tại nước ngoài.

Theo thông tin trên tờ Doanh nhân & Pháp luật dự kiến, thời gian niêm yết tại nước ngoài của M-Service sớm nhất là vào cuối năm 2025. M- Service có thể huy động khoảng 10% giá trị định giá từ đợt chào bán công khai ban đầu, có thể diễn ra tại Singapore hoặc Mỹ.

Đáng chú ý, theo một số thông tin không chính thức, M-Service ước tính định giá doanh nghiệp lên tới 3 tỷ USD, tuy nhiên, M-Service chưa có bình luận nào khi được truyền thông hỏi.

Trước đó, định giá của M-Service đã vượt ngưỡng 2 tỷ USD trong vòng gọi vốn Series E vào tháng 12/2021, khi công ty huy động được 200 triệu USD từ các nhà đầu tư do Ngân hàng Mizuho của Nhật Bản dẫn đầu. Vòng gọi vốn còn có sự tham gia của các nhà đầu tư toàn cầu như Ward Ferry, Goodwater Capital và nhà đầu tư Kora Management, theo một báo cáo.

Được điều hành bởi M-Service, MoMo là một ví điện tử và ứng dụng thanh toán cung cấp dịch vụ chuyển tiền, thanh toán hóa đơn và các "dịch vụ tài chính" khác mà người dùng có tài khoản ngân hàng có thể truy cập.

Nói thêm về MoMo, ra mắt vào tháng 11/2010 với dịch vụ ví điện tử, đến tháng 5/2014, MoMo mở rộng thành ứng dụng trên điện thoại thông minh cung cấp các dịch vụ thiết yếu chuyển tiền, nạp tiền điện thoại, và thanh toán hóa đơn.

Qua hơn một thập kỷ phát triển, MoMo đã chuyển mình thành siêu ứng dụng tài chính, phục vụ hơn 30 triệu người dùng, với 50.000 đối tác, hơn 70 ngân hàng và tổ chức tài chính, cùng 300.000 điểm chấp nhận thanh toán trên toàn quốc

Về kết quả kinh doanh, theo Vietdata, hiệu quả tài chính của M-Service, doanh nghiệp chủ quản MoMo chưa tiến triển tốt, đến hết năm 2023 vẫn báo lỗ. Doanh thu M-Service năm 2023 đạt hơn 9.400 tỷ đồng. Tốc độ tăng trưởng trên 10% mỗi năm trong giai đoạn 2020-2023 nhưng có xu hướng giảm dần. Tuy vẫn báo lỗ nhưng lỗ ròng 287 tỷ đồng trong năm 2023 đã giảm đến 4 lần với kỳ trước.

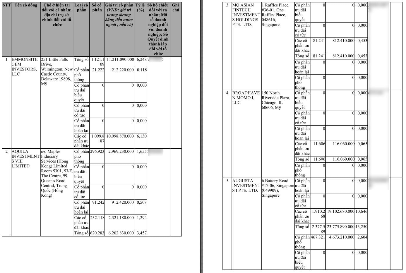
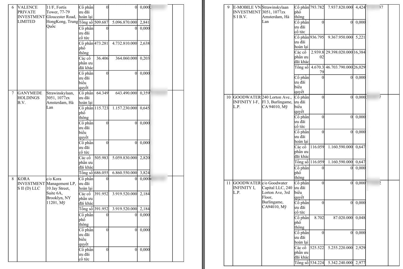
71,214 % vốn nằm trong tay các cổ đông ngoại

Về cơ cấu sở hữu của Công ty cổ phần Dịch vụ di động trực tuyến (M-Service), theo cập nhật gần nhất từ Cổng thông tin quốc gia về đăng ký doanh nghiệp, tại thời điểm 26/9/2023, dù được “định giá tỷ USD” nhưng vốn điều lệ của M-Service khá khiêm tốn ở mức hơn 179,4 tỷ đồng, trong đó, có đến 71,214% vốn nằm trong tay các cổ đông ngoại.

Cụ thể, trong danh sách cổ đông ngoại của M-Service tại thời điểm này có đến 20 cổ đông ngoại gồm cả tổ chức và cá nhân.

Rộ tin sắp IPO quốc tế, chủ sở hữu MoMo đang nằm trong tay ai?- Ảnh 2.

Rộ tin sắp IPO quốc tế, chủ sở hữu MoMo đang nằm trong tay ai?- Ảnh 3.

Rộ tin sắp IPO quốc tế, chủ sở hữu MoMo đang nằm trong tay ai?- Ảnh 4.

Rộ tin sắp IPO quốc tế, chủ sở hữu MoMo đang nằm trong tay ai?- Ảnh 5.

Theo An Diệp

Cùng chuyên mục
XEM