Những chủ xe có tên trong danh sách phạt nguội dưới đây khẩn trương nộp phạt, chớ để lâu!

Ứng Hà Chi | 02/06/2025 21:40 PM | Sống

Những chủ phương tiện xe máy có trong danh sách dưới đây cần nhanh chóng kiểm tra thông tin và tiến hành nộp phạt nguội.

Xe biển Phú Thọ bị phạt nguội tại Vĩnh Phúc

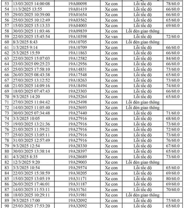
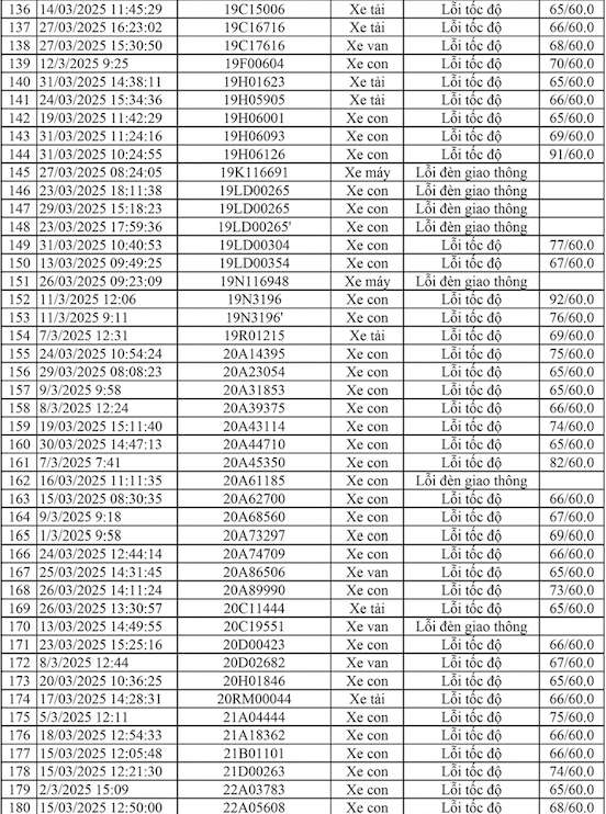
Dưới đây là danh sách các trường hợp ô tô biển số Phú Thọ vi phạm tín hiệu đèn giao thông và chạy quá tốc độ từ ngày 1-31.3.2025 tại Vĩnh Phúc.

Những chủ xe có tên trong danh sách phạt nguội dưới đây khẩn trương nộp phạt, chớ để lâu!- Ảnh 1.

Những chủ xe có tên trong danh sách phạt nguội dưới đây khẩn trương nộp phạt, chớ để lâu!- Ảnh 2.

Những chủ xe có tên trong danh sách phạt nguội dưới đây khẩn trương nộp phạt, chớ để lâu!- Ảnh 3.

Xe biển Phú Thọ bị phạt nguội tại Cao Bằng

Công an tỉnh Cao Bằng thông báo kết quả phát hiện 1 trường hợp biển số Phú Thọ vi phạm giao thông qua Hệ thống camera giám sát giao thông (từ ngày 17.4.2025 - 23.4.2025).

Những chủ xe có tên trong danh sách phạt nguội dưới đây khẩn trương nộp phạt, chớ để lâu!- Ảnh 4.

Khi đến nộp phạt nguội, người dân cần chuẩn bị các giấy tờ sau:

- Đối với xe ô tô: Đăng ký xe, giấy chứng nhận kiểm định an toàn kỹ thuật và bảo vệ môi trường, giấy phép lái xe của người vi phạm, căn cước công dân của người vi phạm (với mỗi loại giấy tờ photo 1 bản).

- Đối với xe mô tô: Đăng ký xe, giấy phép lái xe của người vi phạm, căn cước công dân của người vi phạm (với mỗi loại giấy tờ photo 1 bản).

Những chủ xe có tên trong danh sách phạt nguội dưới đây khẩn trương nộp phạt, chớ để lâu!- Ảnh 5.

(Ảnh minh họa)

Theo khoản 2 Điều 4 Thông 15/2022/TT-BCA, khi phát hiện được vi phạm giao thông thông qua hệ thống phạt nguội, lực lượng Cảnh sát giao thông nơi phát hiện vi phạm sẽ thực hiện xác minh thông tin về người và phương tiện vi phạm.

Sau đó, gửi thông báo phạt nguội đến chủ phương tiện vi phạm và mời người đó đến trụ sở công an để giải quyết vụ việc vi phạm. Thời hạn gửi thông báo phạt nguội là 10 ngày kể từ ngày phát hiện hành vi vi phạm.

Quá 20 ngày kể từ ngày gửi thông báo phạt nguội mà người vi phạm không đến trụ sở cơ quan Công an để giải quyết vụ việc thì Cảnh sát giao thông sẽ cập nhật thông tin của phương tiện giao thông vi phạm lên Trang thông tin điện tử của Cục Cảnh sát giao thông.

Theo quy định này, nếu phát hiện vi phạm ngay khi xảy ra thì tổ chức, cá nhân có thể tra cứu phạt nguội sau khoảng 30 ngày kể từ khi vi phạm.

Còn nếu hành vi vi phạm không được phát hiện ngay thì rất khó để xác định chính xác thời gian có thể tra cứu phạt nguội là bao lâu.

Cách tra cứu phạt nguội

Từ ngày 01/6/2019, Cục Cảnh sát giao thông đã cho ra mắt phần mềm quản lý Giấy phép lái xe. Tại đây, người dân có thể tra cứu phương tiện vi phạm giao thông qua hình ảnh đối với ô tô, xe máy, xe đạp điện qua phần mềm này bằng cách nhập biển số xe.

Chỉ qua vài bước đơn giản, mọi thông tin về biển số xe, thời gian, địa điểm, đơn vị phát hiện vi phạm sẽ được hiển thị. Đồng thời, chủ phương tiện hoặc người điều khiển phương tiện có thể liên hệ địa chỉ, số điện thoại để giải quyết xử lý tại các đơn vị công an nơi phát hiện vi phạm.

Để tiến hành tra cứu, người dân tiến hành theo các bước sau:

Bước 1: Truy cập website của Cục Cảnh sát giao thông: https://www.csgt.vn/. Mục Tra cứu phương tiện vi phạm giao thông qua hình ảnh nằm phía bên phải màn hình.

Bước 2: Nhập đầy đủ biển số xe cần kiểm tra và chọn loại phương tiện (Ô tô hoặc xe máy).

Bước 3: Nhập mã bảo mật (Cụm ký tự chữ và số bên cạnh ô trống)

Đôi khi xảy ra tình trạng nhập mã bảo mật không được, bạn đọc vui lòng thực hiện nhiều lần, nhập chính xác cụm ký tự chữ và số này.

Bước 4: Nhấn Tra cứu để tìm kết quả.

Lúc này hệ thống sẽ trả về kết quả vi phạm giao thông của phương tiện qua camera. Nếu không tìm thấy kết quả tức là xe không bị phạt nguội.

Tổng hợp



Ứng Hà Chi

Cùng chuyên mục
XEM