Đề minh họa thi vào 10 Hà Nội 2025 môn Toán và đáp án

23/05/2025 11:35 AM | Sống  »  Giáo dục

Xin giới thiệu để các em học sinh tham khảo đề minh hoạ môn Toán thi vào 10 THPT công lập Hà Nội năm 2024-2025 và gợi ý đáp án.

Năm học 2024 - 2025, Sở GD&ĐT Hà Nội đưa ra bộ đề minh họa kỳ thi tuyển sinh vào lớp 10 THPT công lập năm học 2025-2026 theo chương trình giáo dục phổ thông mới gồm 7 môn: Ngữ văn, Toán, tiếng Anh, Khoa học tự nhiên, Lịch sử và Địa lý, Giáo dục công dân, Tin học.

Kỳ thi vào lớp 10 năm nay, ngoài hai môn thi bắt buộc Toán và Văn, Hà Nội chọn môn thi thứ 3 là ngoại ngữ.

Theo công bố, đề Ngữ văn và Toán có hình thức tự luận, thời gian làm bài là 120 phút. Tiếng Anh theo dạng trắc nghiệm 60 phút.

Xin giới thiệu để các em học sinh tham khảo đề minh hoạ môn Toán thi vào 10 THPT công lập Hà Nội năm 2024-2025:

Đề minh họa thi vào 10 Hà Nội 2025 môn Toán và đáp án- Ảnh 1.

Đề minh họa thi vào 10 Hà Nội 2025 môn Toán và đáp án- Ảnh 2.

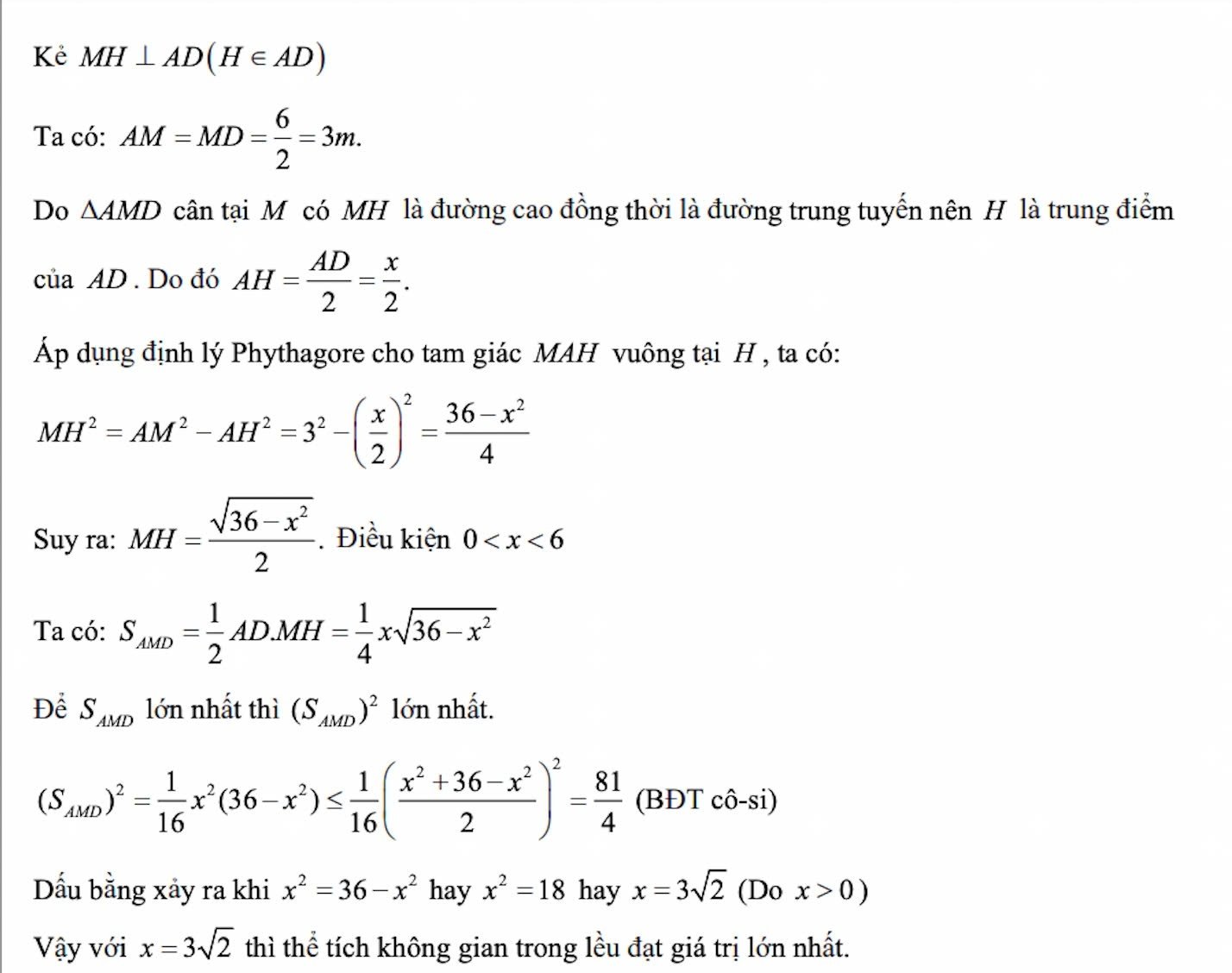
Dưới đây là gợi ý đáp án đề minh họa môn Toán thi vào lớp 10

(Đây là gợi ý của thầy Đỗ Văn Bảo, hệ thống Tuyensinh247.com)

Đề minh họa thi vào 10 Hà Nội 2025 môn Toán và đáp án- Ảnh 3.

Đề minh họa thi vào 10 Hà Nội 2025 môn Toán và đáp án- Ảnh 4.

Đề minh họa thi vào 10 Hà Nội 2025 môn Toán và đáp án- Ảnh 5.

Đề minh họa thi vào 10 Hà Nội 2025 môn Toán và đáp án- Ảnh 6.

Đề minh họa thi vào 10 Hà Nội 2025 môn Toán và đáp án- Ảnh 7.

Đề minh họa thi vào 10 Hà Nội 2025 môn Toán và đáp án- Ảnh 8.

Đề minh họa thi vào 10 Hà Nội 2025 môn Toán và đáp án- Ảnh 9.

Đề minh họa thi vào 10 Hà Nội 2025 môn Toán và đáp án- Ảnh 10.

Đề minh họa thi vào 10 Hà Nội 2025 môn Toán và đáp án- Ảnh 11.

Theo Hải An

Cùng chuyên mục
XEM