Công an các địa phương công bố danh sách phạt 'nguội': Chủ xe có biển số sau lưu ý đóng phạt theo Nghị định 168

Hà Giang | 02/02/2025 09:59 AM | Xã hội  »  Trong nước

Từ ngày 1/1/2025, Nghị định 168/2024/NĐ-CP “Quy định xử phạt vi phạm hành chính về trật tự an toàn giao thông đường bộ; trừ điểm, phục hồi điểm giấy phép lái xe” có hiệu lực thi hành. Theo Nghị định, nhiều hành vi vi phạm giao thông có xử phạt tăng mạnh so với quy định trước đó.

Công an các địa phương công bố danh sách phạt 'nguội': Chủ xe có biển số sau lưu ý đóng phạt theo Nghị định 168- Ảnh 1.

Ảnh minh họa, nguồn: Internet

Những ngày qua, cơ quan Công an các tỉnh thành đã công bố danh sách  phạt "nguội" trong tháng 1/2025 - tháng đầu tiên Nghị định 168/2024/NĐ-CP bắt đầu có hiệu lực. Các chủ xe có trong danh sách cần chú ý và thực hiện đóng phạt theo đúng quy định.

Theo đó, Trang thông tin điện tử Công an tỉnh Cao Bằng ngày 24/1 đăng tải thông báo kết quả phát hiện các trường hợp vi phạm giao thông qua Hệ thống camera giám sát giao thông (từ ngày 13/1/2025 - 22/1/2025).

Danh sách bao gồm 7 trường hợp điều khiển xe ô tô chạy quá tốc độ quy định; 2 trường hợp điều khiển xe mô tô chạy quá tốc độ quy định; 1 trường hợp điều khiển xe mô tô không chấp hành hiệu lệnh của đèn tín hiệu giao thông.

Công an tỉnh Cao Bằng cho biết, sau khi đăng thông báo này yêu cầu người vi phạm đến trụ sở Công an Thành phố Cao Bằng, địa chỉ: số 004 đường Hoàng Như, phường Hợp Giang, Thành phố Cao Bằng, tỉnh Cao Bằng để giải quyết theo quy định.

Nếu người vi phạm không đến giải quyết, Công an tỉnh sẽ phối hợp với chính quyền địa phương nơi chủ phương tiện cư trú, học tập, công tác hoặc đặt trụ sở chính để xử lý.

Danh sách cụ thể như sau:

Công an các địa phương công bố danh sách phạt 'nguội': Chủ xe có biển số sau lưu ý đóng phạt theo Nghị định 168- Ảnh 2.

Công an các địa phương công bố danh sách phạt 'nguội': Chủ xe có biển số sau lưu ý đóng phạt theo Nghị định 168- Ảnh 3.

Danh sách các phương tiện vi phạm (Ảnh: Trang thông tin điện tử Công an tỉnh Cao Bằng)

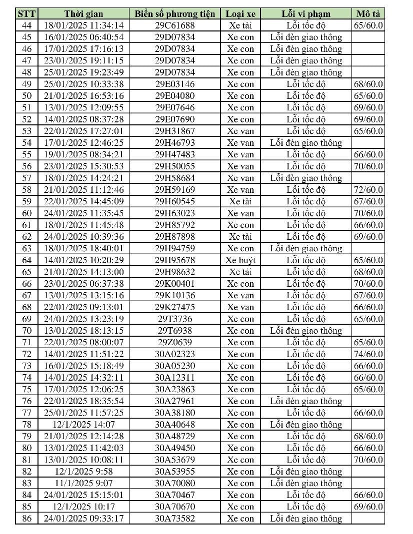
Vào ngày 27/1, Công an tỉnh Vĩnh Phúc đã có thông báo kết quả phát hiện, xử lý phạt nguội qua Hệ thống camera giám sát giao thông.

Theo đó, từ ngày 11/1/2025 - 25/1/2025 , qua Hệ thống camera giám sát giao thông, Công an thành phố Vĩnh Yên đã phát hiện và xử phạt “nguội” đối với các trường hợp vi phạm Luật an toàn giao thông.

Danh sách bao gồm 469 trường hợp vi phạm của xe con, xe van và xe tải, với các lỗi chủ yếu là: "lỗi đèn giao thông", "lỗi tốc độ. Người dân có thể xem đẩy đủ danh sách tại link sau đây .

Công an các địa phương công bố danh sách phạt 'nguội': Chủ xe có biển số sau lưu ý đóng phạt theo Nghị định 168- Ảnh 4.

Công an các địa phương công bố danh sách phạt 'nguội': Chủ xe có biển số sau lưu ý đóng phạt theo Nghị định 168- Ảnh 5.

Công an các địa phương công bố danh sách phạt 'nguội': Chủ xe có biển số sau lưu ý đóng phạt theo Nghị định 168- Ảnh 6.

Một số phương tiện vi phạm trong thời gian 11/1/2025 - 25/1/2025 do Công an TP Vĩnh Yên công bố

Ngày 20/1, Cổng thông tin điện tử tỉnh Bắc Ninh đã đăng tải danh sách các phương tiện vi phạm phạt nguội trong tỉnh, tuần từ 30/12/2024 đến 5/1/2025.

Danh sách bao gồm 523 phương tiện, với các hành vi vi phạm phổ biến là: “Điều khiển xe chạy quá tốc độ quy định”, “không chấp hành hiệu lệnh của đèn tín hiệu giao thông” và “đỗ xe ngược chiều lưu thông của làn đường”. Trong đó, có nhiều trường hợp vi phạm sau ngày 1/1/2025.

Để xem chi tiết danh sách, người dân truy cập vào link sau đây .

Dưới đây là một số phương tiện bị phạt “nguội”:

Công an các địa phương công bố danh sách phạt 'nguội': Chủ xe có biển số sau lưu ý đóng phạt theo Nghị định 168- Ảnh 7.

Một số phương tiện bị phạt nguội sau ngày 1/1/2025 do Công an tỉnh Bắc Ninh đăng tải

Người dân cần lưu ý, để tra cứu phương tiện vi phạm, người dân có thể truy cập vào đường link sau đây và thực hiện nhập thông tin biển kiểm soát, loại xe: https://www.csgt.vn/tra-cuu-phuong-tien-vi-pham.html .

Bên cạnh đó, người dân cũng có thể tra cứu phạt nguội qua ứng dụng VNeTraffic theo các bước như sau:

Bước 1: Tải và cài đặt app VNeTraffic về điện thoại trên App store/ CH Play.

Bước 2: Đăng nhập tài khoản

Trường hợp chưa có tài khoản thì đăng ký tài khoản theo các bước sau:

Chọn đăng ký, sau đó quét mã QR bên góc trên cùng phải của thẻ CCCD. Người dân thực hiện kiểm tra thông tin, nhập số điện thoại và bấm "Xác nhận".

Sau đó hệ thống sẽ gửi mã OTP về điện thoại, người dân cần nhập mã OTP và thiết lập mật khẩu.

Bước 3: Để kiểm tra phạt nguội cá nhân chọn mục "Tra cứu vi phạm".

Bước 4: Nhập biển số xe cần tra cứu và nhấn “Kiểm tra”

Hà Giang

Cùng chuyên mục
XEM