Các chủ xe có biển số sau phải đóng phạt 'nguội' theo Nghị định 168

Theo hà Giang | 28/01/2025 17:45 PM | Xã hội

Từ ngày 1/1/2025, Nghị định 168/2024/NĐ-CP “Quy định xử phạt vi phạm hành chính về trật tự an toàn giao thông đường bộ; trừ điểm, phục hồi điểm giấy phép lái xe” có hiệu lực thi hành. Theo Nghị định, nhiều hành vi vi phạm giao thông có xử phạt tăng mạnh so với quy định trước đó.

Các chủ xe có biển số sau phải đóng phạt 'nguội' theo Nghị định 168- Ảnh 1.

Ngày 23/1, Cổng thông tin điện tử Công an tỉnh Thái Bình đã đăng tải danh sách các phương tiện vi phạm Luật Giao thông đường bộ bị xử lý phạt "nguội".

Cụ thể, từ ngày 15/1/2025 đến ngày 22/1/2025, Phòng Cảnh sát giao thông, Công an tỉnh ghi nhận 69 lượt phương tiện vi phạm Luật Giao thông đường bộ bị xử lý phạt nguội.

Danh sách cụ thể như sau:

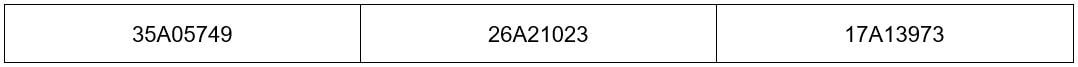
Qua hệ thống camera giám sát phát hiện 05 lượt phương tiện vi phạm lỗi Không chấp hành hiệu lệnh của đèn tín hiệu giao thông gồm:

Các chủ xe có biển số sau phải đóng phạt 'nguội' theo Nghị định 168- Ảnh 2.

Ảnh: Cổng thông tin điện tử Công an tỉnh Thái Bình

Qua tuần tra kiểm soát của lực lượng Cảnh sát giao thông, Công an tỉnh, ghi nhận 64 lượt phương tiện vi phạm lỗi vượt quá tốc độ gồm:

Các chủ xe có biển số sau phải đóng phạt 'nguội' theo Nghị định 168- Ảnh 3.

Ảnh: Cổng thông tin điện tử Công an tỉnh Thái Bình

Tuần trước đó (từ ngày 08/01/2025 đến ngày 14/01/2025), Phòng Cảnh sát giao thông, Công an tỉnh Thái Bình đã ghi nhận 65 lượt phương tiện vi phạm Luật Giao thông đường bộ bị xử lý phạt "nguội".

Theo đó, danh sách bao gồm 3 lượt phương tiện vi phạm lỗi Không chấp hành hiệu lệnh của đèn tín hiệu giao thông và 62 lượt phương tiện vi phạm lỗi vượt quá tốc độ:

Các chủ xe có biển số sau phải đóng phạt 'nguội' theo Nghị định 168- Ảnh 4.

3 lượt phương tiện vi phạm lỗi Không chấp hành hiệu lệnh của đèn tín hiệu giao thông

Các chủ xe có biển số sau phải đóng phạt 'nguội' theo Nghị định 168- Ảnh 5.

Theo hà Giang

Cùng chuyên mục
XEM