258 xe có biển số sau vi phạm trên Quốc lộ 1A nhanh chóng nộp phạt nguội theo Nghị định 168

Theo Nguyên An | 17/06/2025 17:19 PM | Xã hội  »  Pháp luật

Công an tỉnh Bình Thuận mới đây đã công bố kết quả phát hiện các trường hợp vi phạm về TTATGT đường bộ bị xử lý phạt nguội từ ngày 31/5/2025 đến ngày 14/6/2025.

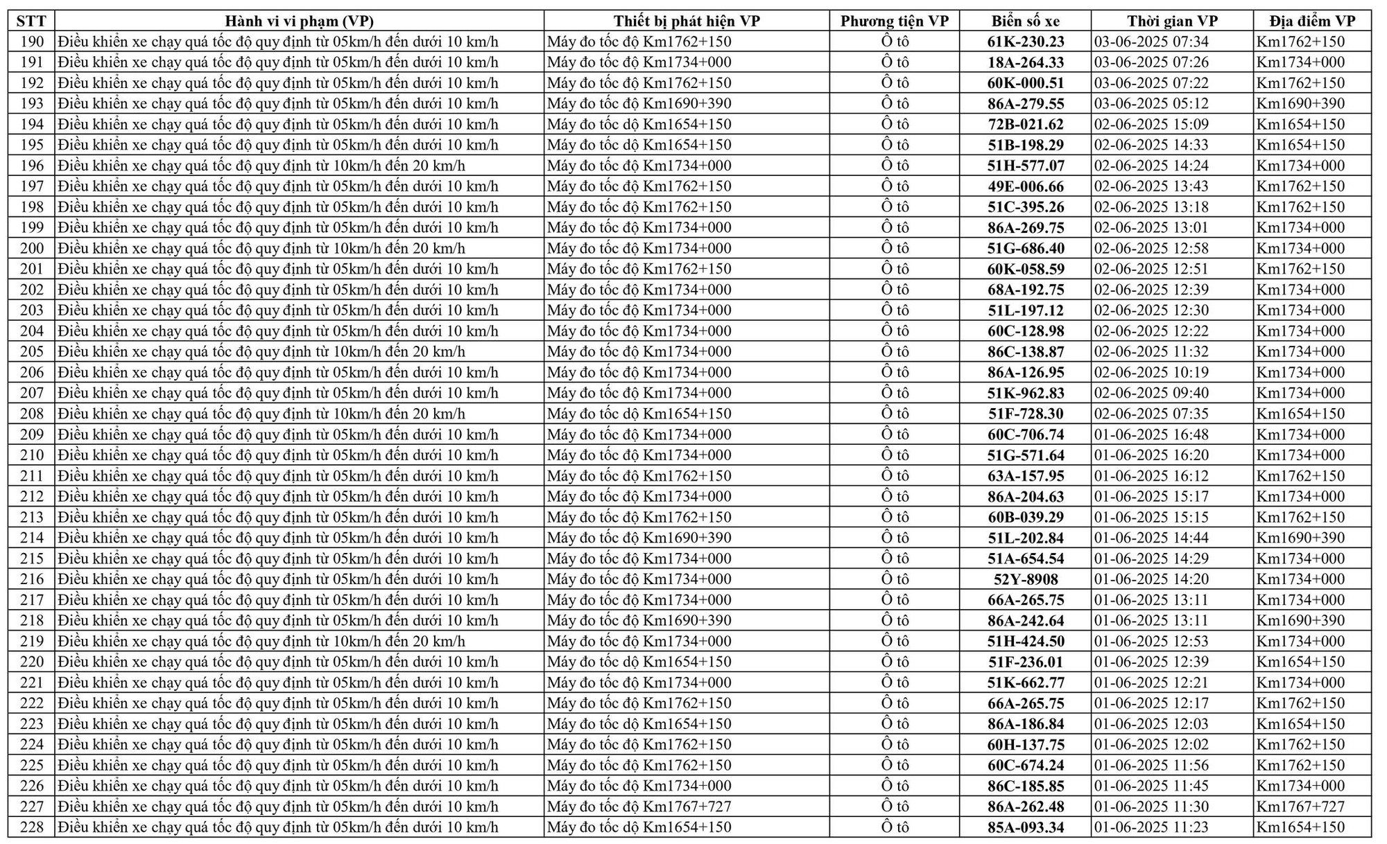
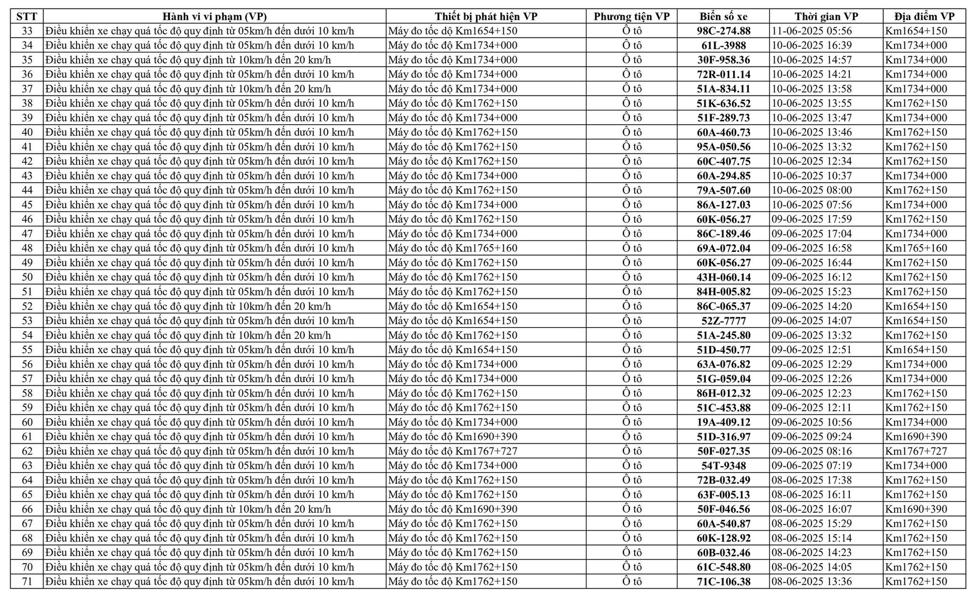
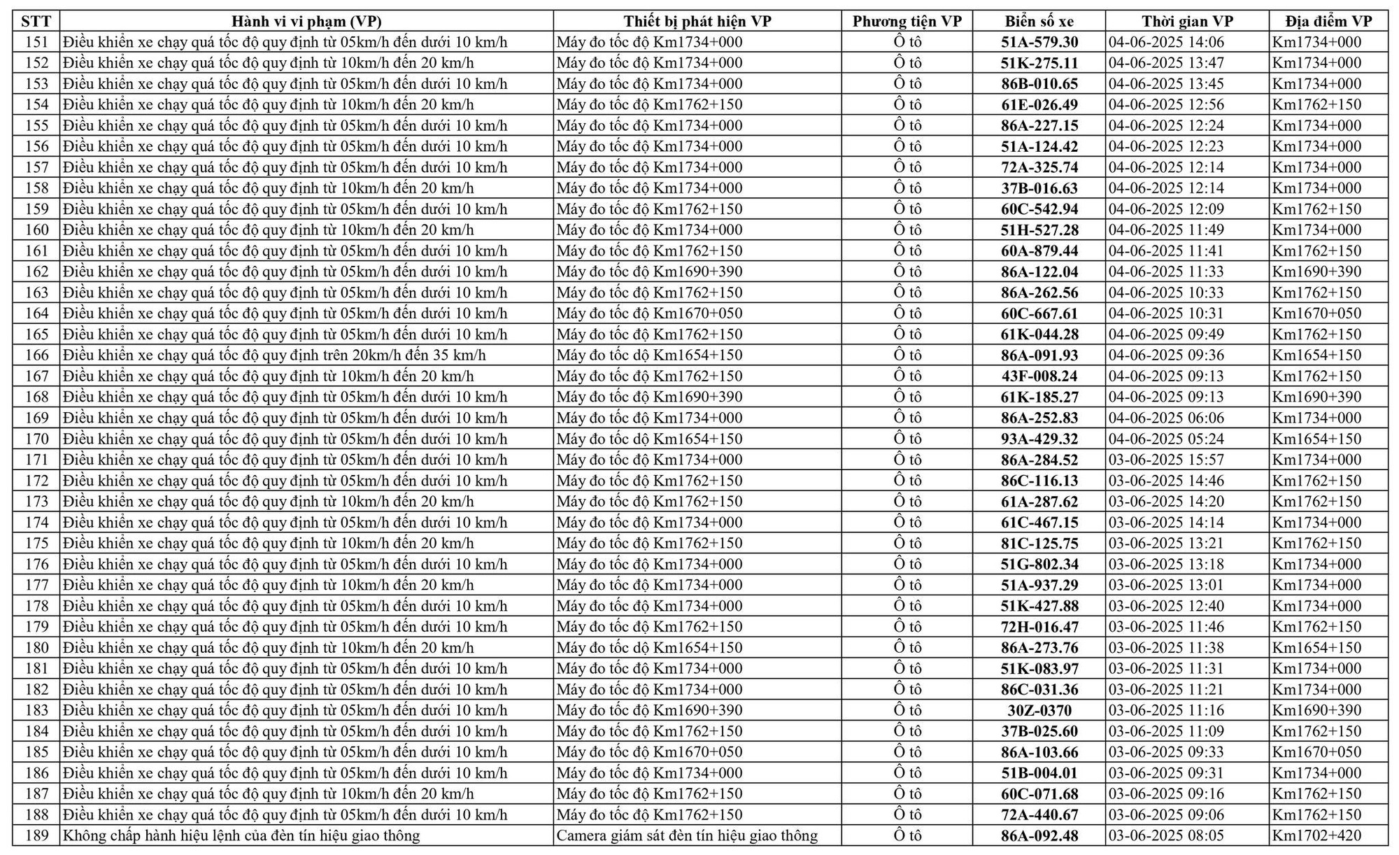
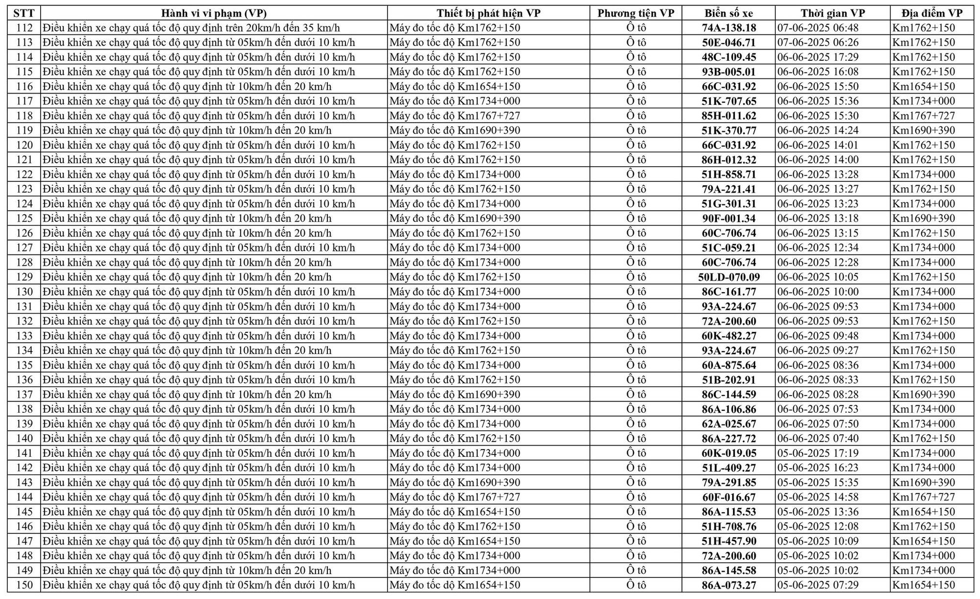
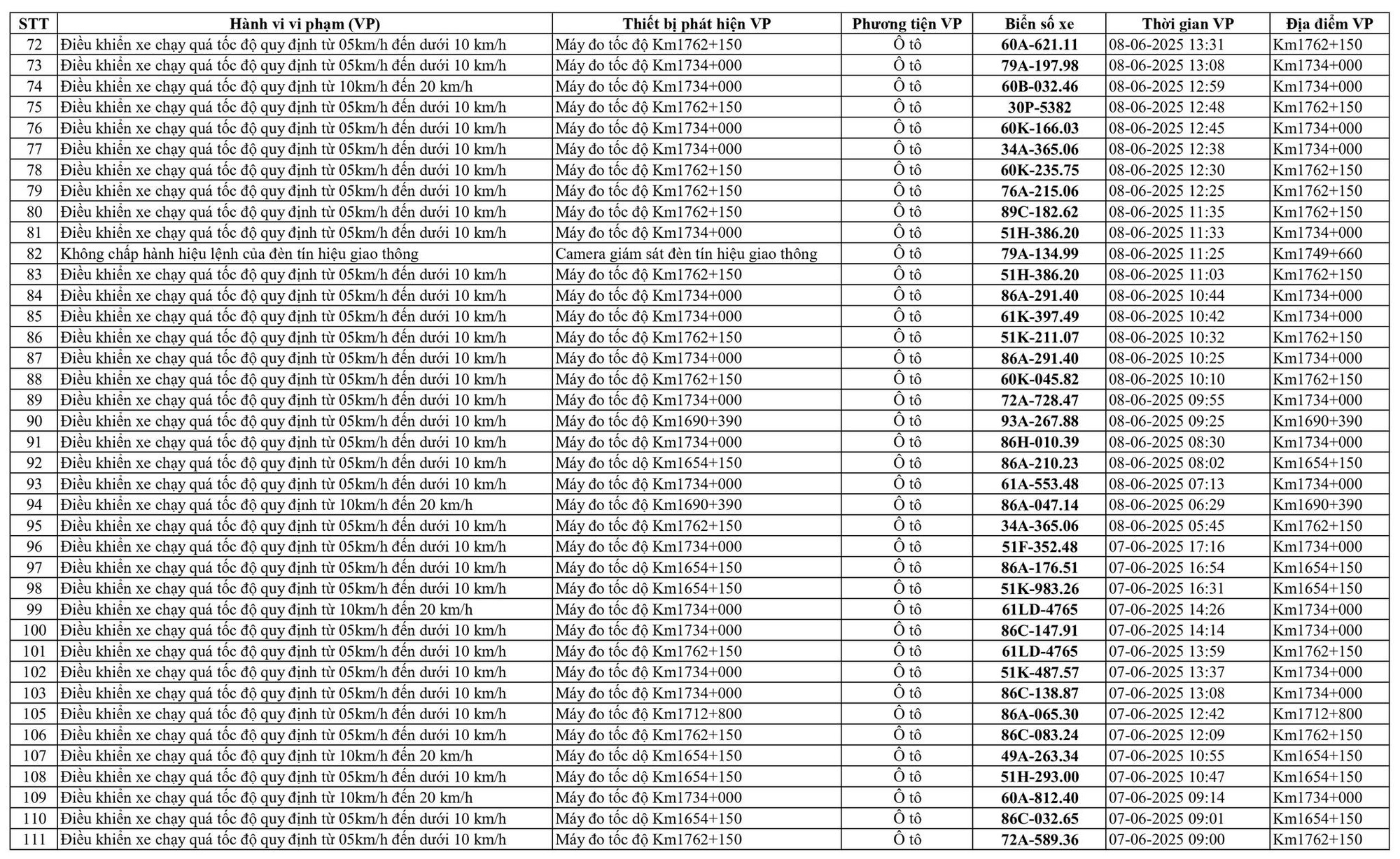
Theo thông báo mới nhất của Phòng Cảnh sát giao thông Công an tỉnh Bình Thuận, từ ngày  31/5/2025 đến ngày 14/6/2025, đã phát hiện 258 trường hợp vi phạm trật tự an toàn giao thông trên tuyến Quốc lộ 1A qua địa bàn tỉnh Bình Thuận thông qua hệ thống camera giám sát giao thông và phương tiện thiết bị kỹ thuật nghiệp vụ. Danh sách biển số vi phạm cụ thể như sau:

Ảnh: Công an tỉnh Bình Thuận

Công an Bình Thuận nhắc nhở, trong thời hạn 10 ngày kể từ ngày vi phạm, Phòng CSGT gửi thông báo đến chủ phương tiện vi phạm, tổ chức, cá nhân có liên quan đến vi phạm hành chính được biết và phối hợp thực hiện giải quyết theo quy định.

Quá thời hạn 20 ngày, kể từ ngày gửi thông báo vi phạm, chủ phương tiện, tổ chức, cá nhân có liên quan đến vi phạm hành chính không đến giải quyết hoặc Phòng CSGT Công an tỉnh Bình Thuận chưa nhận được thông báo kết quả giải quyết, xử lý vụ việc của Phòng CSGT Công an tỉnh (nơi cư trú) sẽ tiến hành gửi thông báo cảnh báo phương tiện giao thông vi phạm cho cơ quan đăng kiểm.

Để tra cứu phương tiện vi phạm, người dân có thể thực hiện theo 3 cách dưới đây:

- Tra cứu trên website chính thức của Cục Cảnh sát Giao thông: https://www.csgt.vn/tra-cuu-phuong-tien-vi-pham.html

- Tải ứng dụng “Tra cứu phạt nguội toàn quốc” để tra cứu trên điện thoại (hỗ trợ cả 2 hệ điều hành phổ biến là iOS và Android)

- Tải ứng dụng VNeTraffic - ứng dụng giao thông do Bộ Công an quản lý để kiểm tra thông tin vi phạm hoặc gửi phản ánh trực tiếp đến cơ quan chức năng.


 

Theo Nguyên An

Cùng chuyên mục
XEM