226 chủ xe mang biển số sau nhanh chóng liên hệ với công an, nộp phạt nguội theo Nghị định 168

03/06/2025 14:35 PM | Sống

Những chủ phương tiện có trong danh sách dưới đây cần sớm kiểm tra thông tin.

Ngày 2/6, Phòng Cảnh sát giao thông (CSGT) Công an tỉnh Bình Thuận thông báo danh sách các phương tiện vi phạm về TTATGT đường bộ, từ ngày 14/5/2025 đến ngày 31/5/2025.

Từ ngày 14/5 đến 31/5, qua hệ thống giám sát - xử lý vi phạm trật tự, an toàn giao thông trên tuyến Quốc lộ 1 qua tỉnh Bình Thuận đã ghi nhận, phát hiện 226 trường hợp vi phạm trật tự an toàn giao thông.

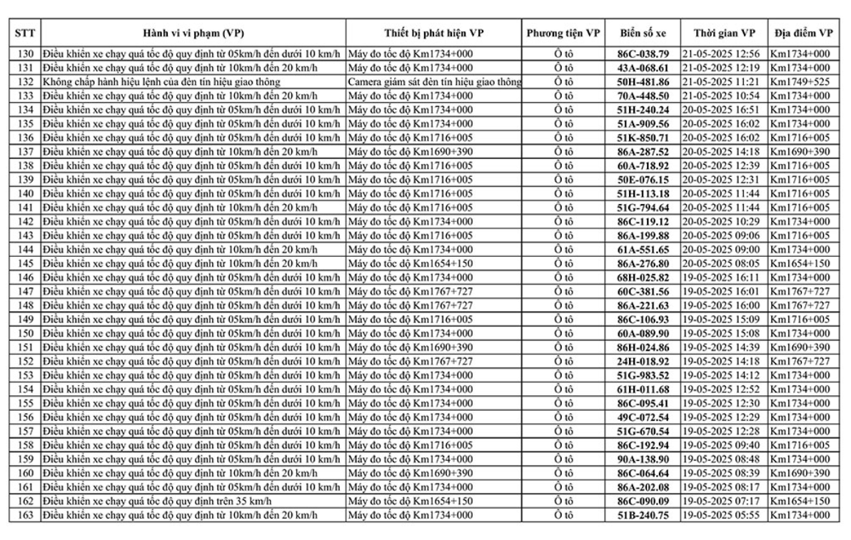
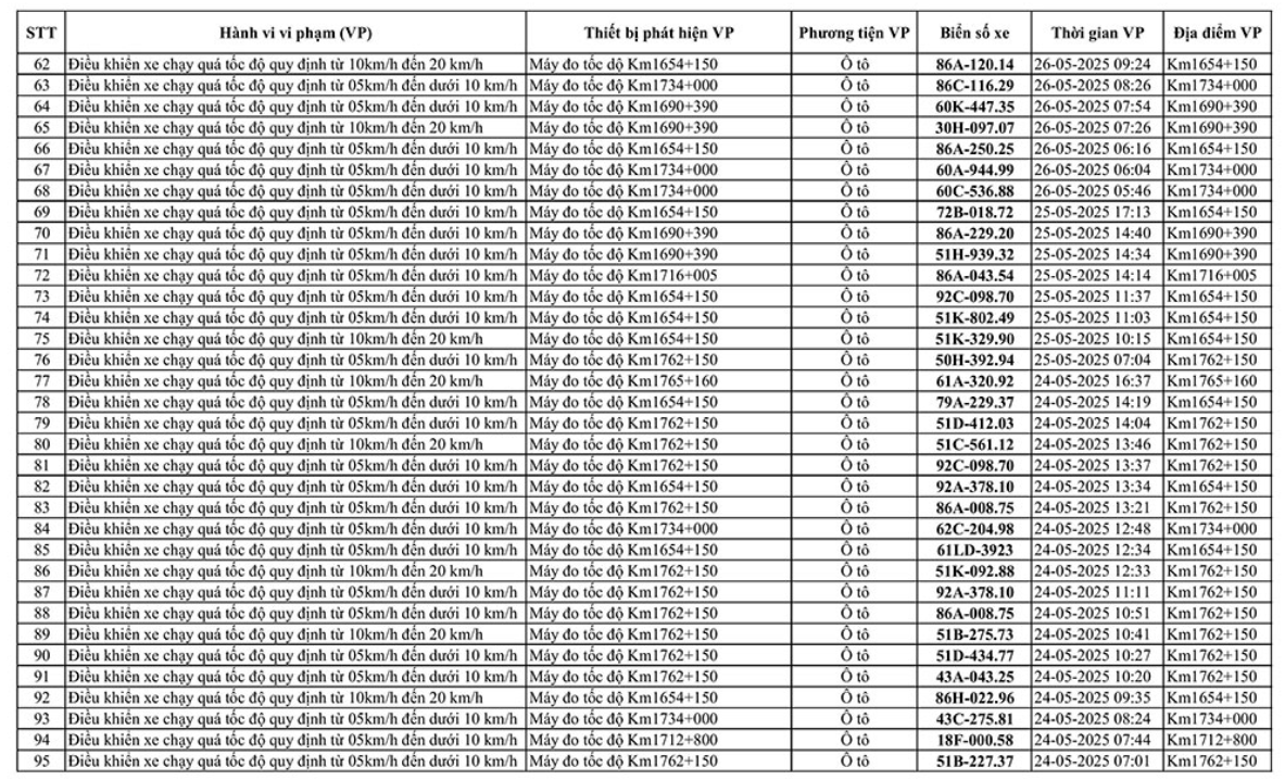
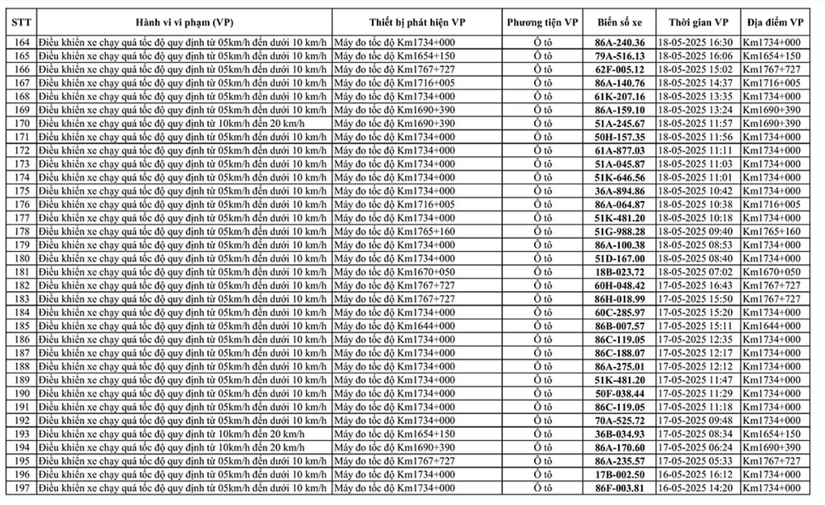
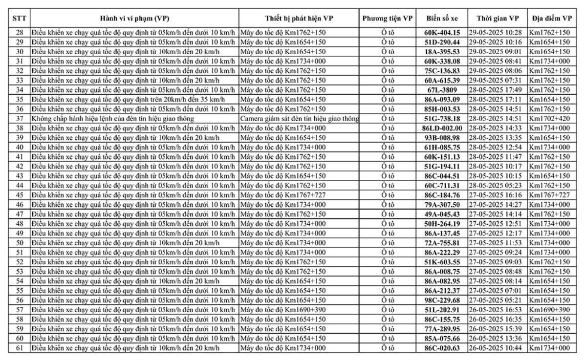
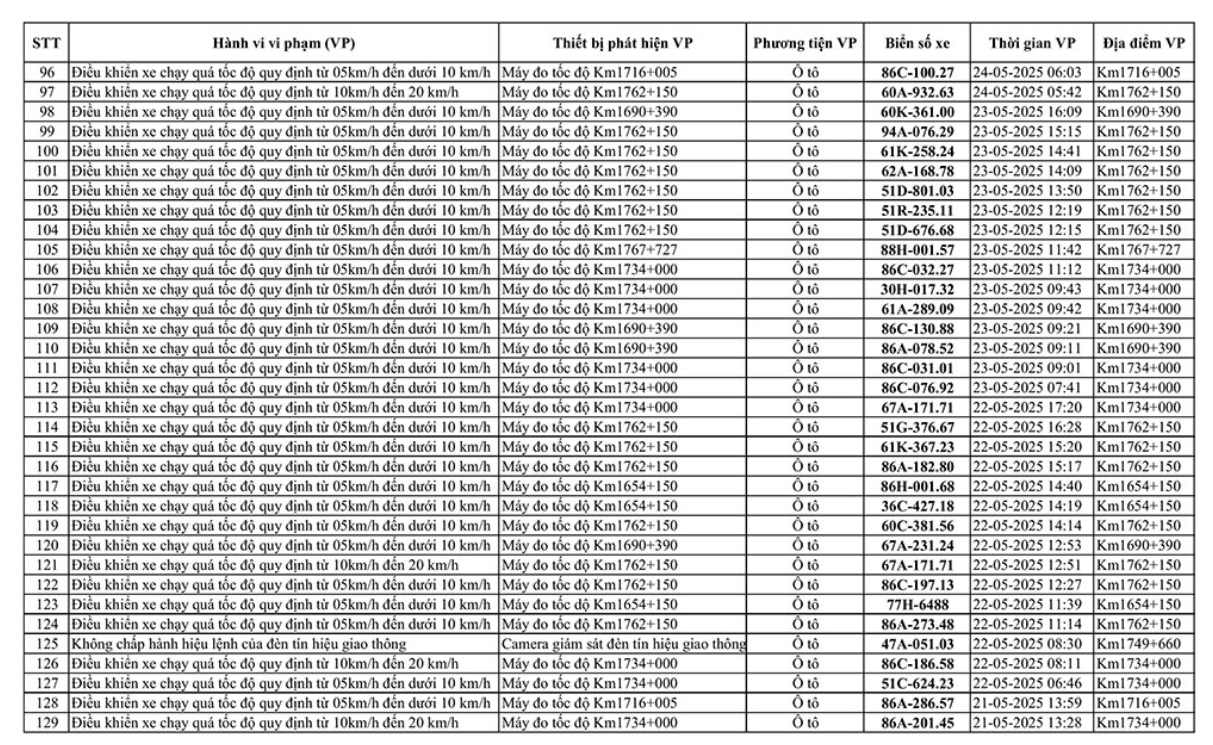
Danh sách cụ thể như sau:

226 chủ xe mang biển số sau nhanh chóng liên hệ với công an, nộp phạt nguội theo Nghị định 168- Ảnh 1.

Ảnh: Phòng CSGT Công an tỉnh Bình Thuận

226 chủ xe mang biển số sau nhanh chóng liên hệ với công an, nộp phạt nguội theo Nghị định 168- Ảnh 2.

Ảnh: Phòng CSGT Công an tỉnh Bình Thuận

226 chủ xe mang biển số sau nhanh chóng liên hệ với công an, nộp phạt nguội theo Nghị định 168- Ảnh 3.

Ảnh: Phòng CSGT Công an tỉnh Bình Thuận

226 chủ xe mang biển số sau nhanh chóng liên hệ với công an, nộp phạt nguội theo Nghị định 168- Ảnh 4.

Ảnh: Phòng CSGT Công an tỉnh Bình Thuận

226 chủ xe mang biển số sau nhanh chóng liên hệ với công an, nộp phạt nguội theo Nghị định 168- Ảnh 5.

Ảnh: Phòng CSGT Công an tỉnh Bình Thuận

226 chủ xe mang biển số sau nhanh chóng liên hệ với công an, nộp phạt nguội theo Nghị định 168- Ảnh 6.

Ảnh: Phòng CSGT Công an tỉnh Bình Thuận

226 chủ xe mang biển số sau nhanh chóng liên hệ với công an, nộp phạt nguội theo Nghị định 168- Ảnh 7.

Ảnh: Phòng CSGT Công an tỉnh Bình Thuận

Theo Phòng Cảnh sát giao thông (CSGT) Công an tỉnh Bình Thuận, trong thời hạn 10 ngày kể từ ngày vi phạm, Phòng CSGT gửi thông báo đến chủ phương tiện vi phạm, tổ chức, cá nhân có liên quan đến vi phạm hành chính được biết và phối hợp thực hiện giải quyết theo quy định.

Trong thời gian này, thông tin vi phạm sẽ được Phòng CSGT đăng tải trên Trang thông tin điện tử của Cục CSGT.

226 chủ xe mang biển số sau nhanh chóng liên hệ với công an, nộp phạt nguội theo Nghị định 168- Ảnh 8.

Ảnh: Phòng CSGT Công an tỉnh Bình Thuận

Phòng CSGT yêu cầu chủ phương tiện, tổ chức, cá nhân có liên quan đến vi phạm hành chính, đến các điểm tiếp dân của Phòng CSGT Công an tỉnh Bình Thuận hoặc trụ sở Phòng CSGT Công an tỉnh (nơi chủ phương tiện vi phạm cư trú) để giải quyết vụ việc.

Quá thời hạn 20 ngày, kể từ ngày gửi thông báo vi phạm, chủ phương tiện, tổ chức, cá nhân có liên quan đến vi phạm hành chính không đến giải quyết hoặc Phòng CSGT Công an tỉnh Bình Thuận chưa nhận được thông báo kết quả giải quyết, xử lý vụ việc của Phòng CSGT Công an tỉnh (nơi chủ phương tiện vi phạm cư trú), sẽ tiến hành gửi thông báo cảnh báo phương tiện giao thông vi phạm cho cơ quan đăng kiểm.

Các loại giấy tờ của phương tiện và người đến xử lý vi phạm:

226 chủ xe mang biển số sau nhanh chóng liên hệ với công an, nộp phạt nguội theo Nghị định 168- Ảnh 9.

Ảnh: Phòng CSGT Công an tỉnh Bình Thuận

Để tra cứu phương tiện vi phạm, người dân có thể truy cập vào đường link https://www.csgt.vn/tra-cuu-phuong-tien-vi-pham.html và thực hiện theo hướng dẫn; hoặc có thể tra cứu vi phạm “phạt nguội” thông qua ứng dụng VNeTraffic.

Theo Phòng Cảnh sát giao thông (CSGT) Công an tỉnh Bình Thuận

Theo Minh Nguyệt

Cùng chuyên mục
XEM