173 chủ xe mang biển Hà Nội sau phải đóng phạt 'nguội' theo Nghị đinh 168

Theo hà Giang | 07/02/2025 20:42 PM | Xã hội

Từ ngày 1/1/2025, Nghị định 168/2024/NĐ-CP “Quy định xử phạt vi phạm hành chính về trật tự an toàn giao thông đường bộ; trừ điểm, phục hồi điểm giấy phép lái xe” có hiệu lực thi hành. Theo Nghị định, nhiều hành vi vi phạm giao thông có mức xử phạt tăng mạnh so với quy định trước đó.

Các xe biển Hà Nội vi phạm (Ảnh: Công an tỉnh Vĩnh Phúc)

Mới đây, Công an tỉnh Vĩnh Phúc đã đăng tải thông báo kết quả phát hiện, xử lý phạt nguội thông qua Hệ thống camera giám sát giao thông.

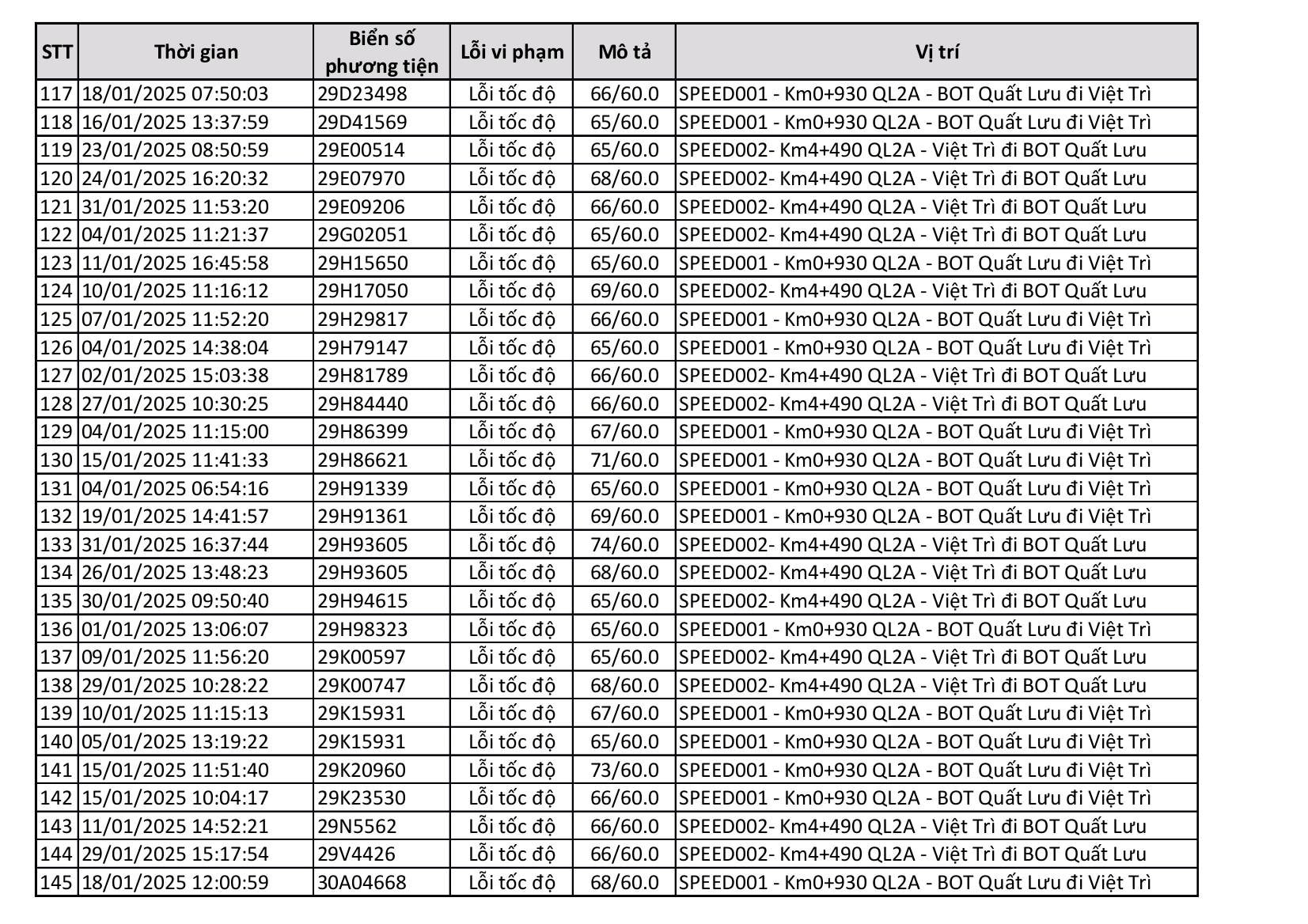
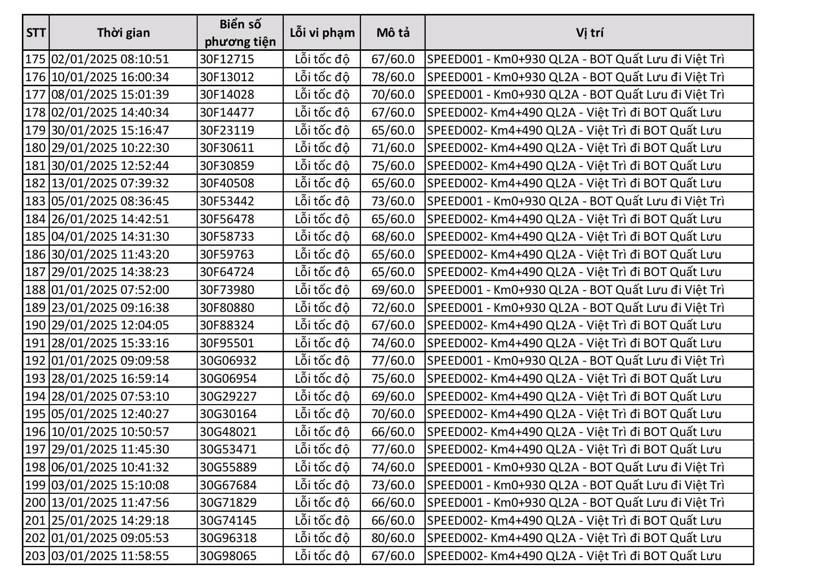
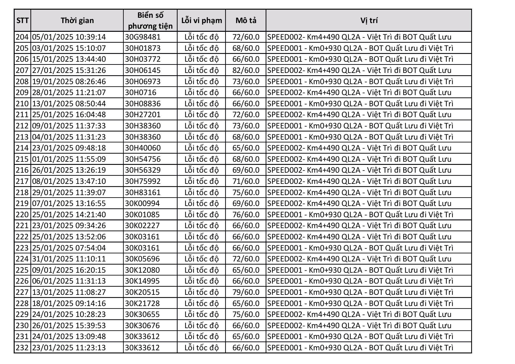
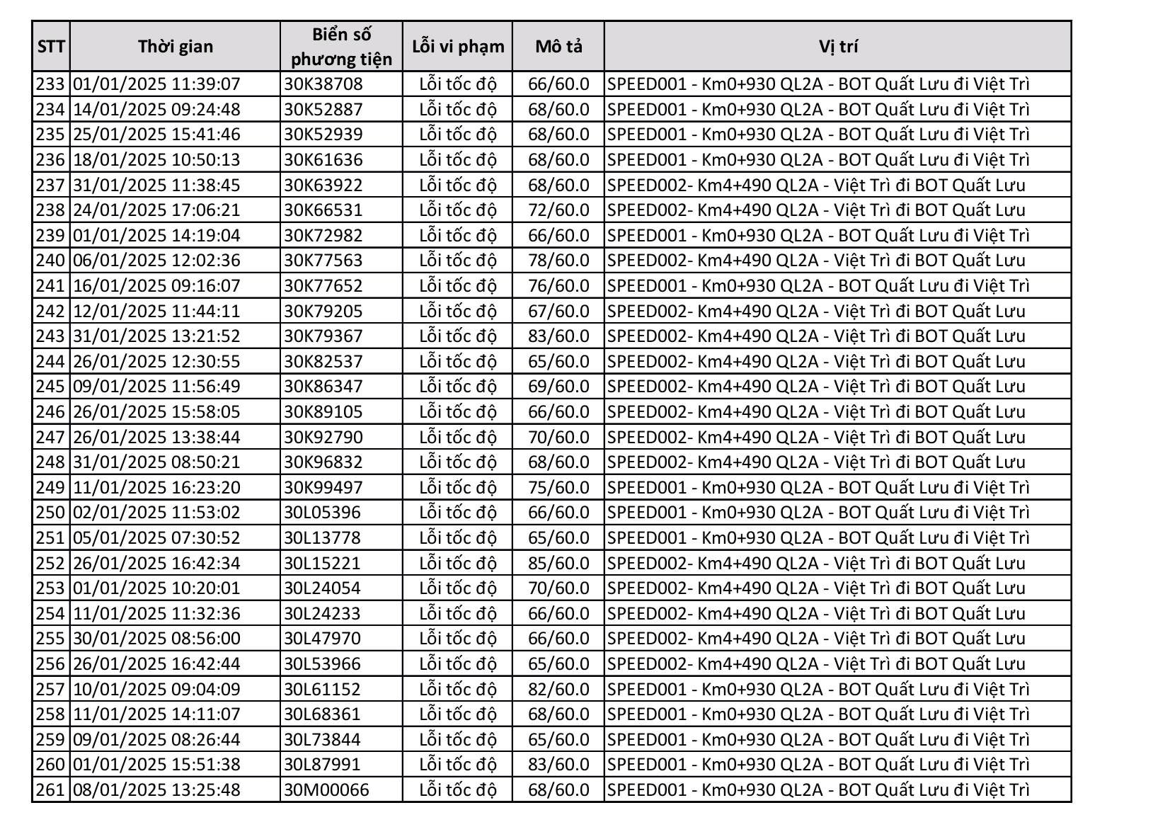
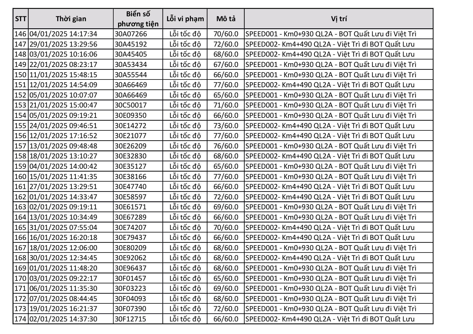
Theo đó, trong tháng 1/2025, Phòng Cảnh sát giao thông, Công an tỉnh Vĩnh Phúc đã phát hiện và xử phạt “nguội” đối với 440 trường hợp vi phạm Luật an toàn giao thông (Lỗi tốc độ).

Trong số 440 trường hợp vi phạm được Công an tỉnh Vĩnh Phúc Công Bố, có 173 phương tiện mang biển số Hà Nội. Danh sách cụ thể như sau:

Các xe biển số Hà Nội vi phạm "nguội" trong tháng 1/2025 do Công an tỉnh Vĩnh Phúc công bố (Ảnh: Công an tỉnh Vĩnh Phúc)Với những phương tiện vi phạm, Cơ quan Công an yêu cầu chủ phương tiện đến Phòng Cảnh sát giao thông Công an tỉnh để làm việc và thực hiện việc nộp phạt theo đúng quy định., có thể truy cập vào đường link sau đây và thực hiện nhập thông tin biển kiểm soát, loại xe: .Bên cạnh đó, người dân cũng có thể tra cứu phạt nguội qua ứng dụng VNeTraffic theo các bước như sau:Bước 1: Tải và cài đặt app VNeTraffic về điện thoại trên App Store/ CH Play.Bước 2: Đăng nhập tài khoảnTrường hợp chưa có tài khoản thì đăng ký tài khoản theo các bước sau:Chọn đăng ký, sau đó quét mã QR bên góc trên cùng phải của thẻ CCCD. Người dân thực hiện kiểm tra thông tin, nhập số điện thoại và bấm "Xác nhận".Sau đó hệ thống sẽ gửi mã OTP về điện thoại, người dân cần nhập mã OTP và thiết lập mật khẩu.Bước 3: Để kiểm tra phạt nguội cá nhân chọn mục "Tra cứu vi phạm".Bước 4: Nhập biển số xe cần tra cứu và nhấn “Kiểm tra”

Theo hà Giang

Cùng chuyên mục
XEM